แสงนั้นเป็นคลื่นแม่เหล็กไฟฟ้า เสียงนั้นก็เป็นคลื่นเช่นกันแต่เป็นคลื่นกลหมายความว่าต้องอาศัยตัวกลางในการเคลื่อนที่ สมมติว่าเราเปิดเครื่องเสียงฟังดนตรีคลาสสิกของอันโตนีโอ วีวัลดี คลื่นเสียงนั้นต้องมีการเดินทางจากลำโพงมายังหูของเรา เมื่อมีการเคลื่อนที่แสดงว่าต้องมีความเร็ว อาจจะน่าแปลกใจว่าเสียงและแสงนั้นมีความเร็ว เพราะมันเคลื่อนที่เร็วมากจนเราไม่ทันสังเกต ในอดีตเมื่อหลายร้อยปีก่อน นักวิทยาศาสตร์รู้กันมานานแล้วแต่ยังไม่มีวิธีการที่จะวัดความเร็วอย่างแน่ชัด ในบทความนี้จะแสดงวิธีการวัดความเร็วของเสียงที่เคลื่อนที่ผ่านของแข็งและแก๊ส เป็นวิธีการที่ชาญฉลาดและแม่นยำแม้ในปัจจุบันเราก็ยังสามารถใช้วิธีการนี้สำหรับการศึกษาเรื่องความเร็วของเสียงให้แก่นักเรียน นักศึกษาในห้องปฏิบัติการฟิสิกส์
อุปกรณ์ที่ใช้วัดความเร็วของเสียงนี้เรียกว่า ท่อคุนดท์ (Kundt's tube) ถูกคิดค้นโดยเอากุสท์ คุนดท์ (August Kundt ค.ศ. 1839-ค.ศ. 1894) นักฟิสิกส์ชาวเยอรมันโดยตีพิมพ์งานวิจัยดังกล่าวลงในวารสาร Annalen der Physik (วารสารเดียวกันกับที่ไอน์สไตน์ตีพิมพ์ทฤษฎีสัมพัทธภาพพิเศษในปี ค.ศ. 1905) ในปี ค.ศ. 1866
นักวิทยาศาสตร์ค้นพบว่า เสียงเดินทางผ่านตัวกลางแต่ละชนิดด้วยความเร็วที่ต่างกันออกไปและความเร็วที่เคลื่อนที่ผ่านตัวกลางนั้นๆก็จะเป็นค่าคงตัวเช่น ในเหล็กมีค่าเท่ากับ 5130 m/s ในขณะที่ในอากาศที่อุณหภูมิ 20 องศาเซลเซียสมีค่าเท่ากับ 343 m/s โดยคลื่นเสียงนั้นจะการแพร่กระจายของคลื่น (wave propagation)
ตามความสัมพันธ์

(1)
โดยที่ v,f,λ คือ ความเร็ว ความถี่และความยาวคลื่น ของคลื่นเสียงตามลำดับ
ฉะนั้นถ้าเราสามารถรู้ความถี่ของคลื่นและความยาวของคลื่นเสียงได้เราก็สามารถคำนวณหาความเร็วของคลื่นเสียงได้อย่างแม่นยำ โดยเอากุสท์ คุนดท์นำความรู้นี้มาประยุกต์ใช้ และเพื่อที่จะหาความเร็วของเสียงในแก๊สต่างๆ เราก็สามารถเปลี่ยนอากาศเป็นแก๊สต่างๆที่ต้องการจะศึกษาในท่อคุนดท์ได้ตามต้องการ หรือเพื่อที่จะหาความเร็วของเสียงในของแข็งที่ทำมาจากวัสดุต่างๆเราก็สามารถทำได้โดยต่ออุปกรณ์ดังรูปด้านล่าง
การทดลองท่อคุนดท์ (Kundt's tube)
เครดิต Pimpisan, P. (2014). Construction the Experiments to Determine the Speed of Sound in Solids by Resonance of the Sound Wave. Thesis Master of Science. Chonburi: Burapha University.
โดยในท่อแก้วใสนั้นเราใส่เศษผงเพื่อไว้สังเกตความยาวคลื่นในท่อ โดยด้านขวาสุดมีลูกสูบเพื่อไว้ปรับความยาวในท่อ ส่วนด้านซ้ายมือนั้นเป็นแท่งของแข็งที่เราต้องการศึกษา เมื่อเราถูผ้าซามัวร์กับแท่งของแข็ง คลื่นเสียงจะเดินทางจากแท่งของแข็งไปยังท่อแก้วใส เมื่อความยาวในท่อพอดีจะทำให้เกิดการสั่นพ้องของคลื่นเสียง โดยความถี่ของคลื่นเสียงของอากาศในท่อสามารถคำนวณได้จากสมการ

(2)
โดย f_a,v_a,λ_a คือ ความถี่ ความเร็วและความยาวของคลื่นเสียงในอากาศในท่อตามลำดับ
ความถี่ของคลื่นเสียงในแท่งของแข็งสามารถคำนวณได้จากสมการ

(3)
โดย f_m,v_m,λ_m คือ ความถี่ ความเร็วและความยาวของคลื่นเสียงในแท่งของแข็งตามลำดับ
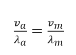
เพราะว่าคลื่นเสียงมาจากแหล่งกำเนิดเดียวกัน ฉะนั้นจึงมีความถี่เดียวกัน และเราสามารถหาความเร็วของเสียงในแท่งของแข็งได้ตามความสัมพันธ์

(4)

(5)
โดยเราในตอนแรกเมื่อมีเสียงจากแหล่งกำเนิดเสียงเดินทางมายังท่อ เราต้องมีการปรับลูกสูบที่ด้านขวาของท่อเพื่อให้เกิดการสั่นพ้อง (resonance) ปรากฎการณ์เมื่อระบบถูกทำให้สั่นด้วยความถี่เท่ากับความถี่ธรรมชาติของระบบเองแล้ว การสั่นนั้นจะสั่นได้รุนแรงหรือมีช่วงกว้างของการสั่นกว้างมากที่สุด โดยคลื่นเสียงในท่อจะมีการแทรกสอดระหว่างคลื่นเสียงจากแหล่งกำเนิดกับคลื่นเสียงที่สะท้อนจากท่อสั่นพ้องทำให้เกิดคลื่นนิ่งขึ้น สามารถสังเกตได้โดยท่อจะให้เสียงดังที่สุด เราสามารถวัดความยาวคลื่นโดยสังเกตจากฝุ่นผงในท่อ โดยอาจจะใช้ฝุ่นผงจากไม้ก๊อกหรือจากไม้โสนเพื่อสังเกตริ้วรอยของคลื่นนิ่งในท่อ ในคลื่นนิ่งตำแหน่งที่ไม่มีการสั่นเลยนั้นคือจุดที่เราเรียกว่าบัพ (node) โดยระยะระหว่างบัพหรือปฏิบัพที่อยู่ติดกันนั้นมีค่าเป็น λ/2 โดยจากการสั่นพ้องของคลื่นเสียงระยะทางระหว่างตำแหน่งของเสียงที่ดังที่สุดครั้งที่หนึ่งและครั้งที่สองจะมีค่าเป็นครึ่งหนึ่งของความยาวเสียงสามารถเขียนเป็นความสัมพันธ์ได้เป็น

(6)
โดยที่ L_2,L_1,λ คือระยะทางจากลำโพงไปถึงตำแหน่งเสียงดังที่สุดครั้งที่สอง ระยะทางจากลำโพงไปถึงตำแหน่งเสียงดังที่สุดครั้งที่หนึ่ง และความยาวของคลื่นตามลำดับ
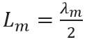
โดยเมื่อเราวัดและบันทึกค่า ∆L ได้ เราก็สามารถคำนวณหาความยาวของคลื่นในสมการที่ (6) ได้และนำความยาวคลื่นนี้ไปแทนค่าในสมการที่ (1) เราก็จะสามารถหาความเร็วของเสียงในอากาศในท่อได้ สิ่งที่สำคัญอีกอย่างคือการให้ท่อมีความยาวแท่งของแข็ง L_m=λ_m/2 และสมการ (6) เพื่อให้อัตราส่วนของทั้งสองนั้นเท่ากับอัตราส่วนของความเร็วของเสียงทั้งในแท่งของแข็งและในอากาศในท่อ ซึ่งจะสามารถเขียนความสัมพันธ์ได้เป็น

(7)
เพียงแค่นี้เราก็สามารถทดลองหาความเร็วของคลื่นเสียงของวัสดุของแข็งต่างๆหรือในอากาศตามที่เราต้องการศึกษาได้ สำหรับปัจจุบันเทคโนโลยีก้าวหน้าไปมากเราอาจจะลองใช้สมาร์ทโฟนมาประยุกต์ใช้กับการทดลองท่อคุนดท์ได้
เรียบเรียงโดย
ณัฐพล โชติศรีศุภรัตน์
ภาควิชาฟิสิกส์ คณะวิทยาศาสตร์
มหาวิทยาลัยศรีนครินทรวิโรฒ
อ้างอิง
- Hutchisson, E., & Morgan, F. B. (1931). An experimental study of kundt's tube dust figures. Physical Review, 37(9), 1155.
- Parolin, S. O., & Pezzi, G. (2015). Kundt’s tube experiment using smartphones. Physics Education, 50(4), 443.
- Nakchuay, T., Kessaratikoon, P., & Khongpakdee, S. (2018). Development of Experimental Set on Resonance of Sound Using Smartphones and Polyvinyl Chloride (PVC) Tube. Thaksin University Journal, 21(3), 183-190.
- Pimpisan, P. (2014). Construction the Experiments to Determine the Speed of Sound in Solids by Resonance of the Sound Wave. Thesis Master of Science. Chonburi: Burapha University.